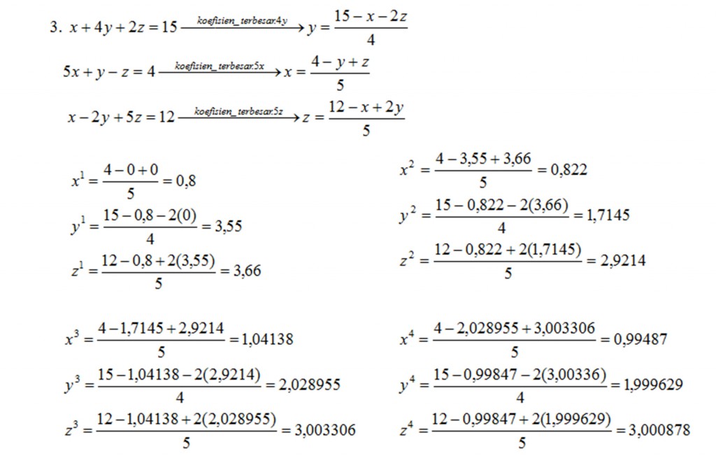
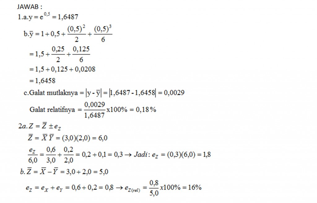
Tugas ke : GSLC 1
Tgl diberikan tugas : 13 Maret 2014
Nama : Selvibistia Elisa
NIM : 1501179355
Kelas : 06PHT
No. blanko nilai : 59
Backlink : www.binus.ac.id
Tugas ke : GSLC 1
Tgl diberikan tugas : 13 Maret 2014
Nama : Selvibistia Elisa
NIM : 1501179355
Kelas : 06PHT
No. blanko nilai : 59
Backlink : www.binus.ac.id
Welcome to Binusian blog.
This is the first post of any blog.binusian.org member blog. Edit or delete it, then start blogging!
Happy Blogging 🙂